各地朱氏
各地朱氏概况>
北京朱氏>
天津朱氏>
河北朱氏>
山西朱氏>
云南朱氏>
辽宁朱氏>
吉林朱氏>
新疆朱氏>
上海朱氏>
江苏朱氏>
浙江朱氏>
安徽朱氏>
福建朱氏>
江西朱氏>
山东朱氏>
陕西朱氏>
甘肃朱氏>
宁夏朱氏>
青海朱氏>
黑龙江朱氏>
河南朱氏>
湖北朱氏>
湖南朱氏>
广东朱氏>
广西朱氏>
海南朱氏>
重庆朱氏>
四川朱氏>
贵州朱氏>
内蒙古朱氏>
西藏朱氏>
香港朱氏>
澳门朱氏>
台湾朱氏>
西亚朱氏>
日韩朱氏>
欧洲朱氏>
美洲朱氏>
澳洲朱氏>
东南亚朱氏>
浙江朱氏
朱守伟:临沂明珠电动车有限公司(商会企业)
朱坤福:山东朱氏药业集团有限公司
山东朱氏药业集团有限公司是一家集医疗器械、膏贴代加工、足贴代加工、退热贴代加工、蒸汽眼罩贴牌生产、生物诊断试剂、高分子材料研发、医疗器械企业培训于一体的企业集团。
是一家正在蓬勃发展的新能源企业,公司设备精良,技术人才荟萃,创新能力强,产品质量上乘,智能化程度高,售后服务有保障,配套设施齐全。产品涉及批发市场,美食街,景区售货,餐饮,冷饮,奶茶,冰淇淋,超市,水吧,美容,服装店车,移动手机贴膜,移动修理,蒸汽洗车,茶座,汽车公寓,移动办公,值班岗亭等多个行业领域!
朱元交:济南朱氏教育信息咨询有限公司
济南朱氏教育信息咨询有限公司 注册地址在山东省济南市历城区二环东路2277号金桥国际大厦A座1-2307,总经理朱元交宗亲联系。如有机会请联系。
朱亚非:山东师范大学教授,博士生导师,本站顾问
朱亚非,男,1955年出生于山东潍坊市,中学毕业后在安徽农村下乡插队,1978年考入山东大学历史系,1985年山东大学中外关系史研究生毕业后到山东师大任教。中共党员。现为山东师范大学历史文化学院教授、博士生导师,山东师范大学教学与科研咨询,山东师范大学山东地方史研究所所长,山东省社会科学重点研究基地——山东地方史研究基地首席专家。曾任历史文化学院院长,中国史硕士点一级学科负责人。
家谱
来源:用户上传| 上传者: 江苏茂槐zhr| 2019/10/21 17:58:33 浏览量:3467
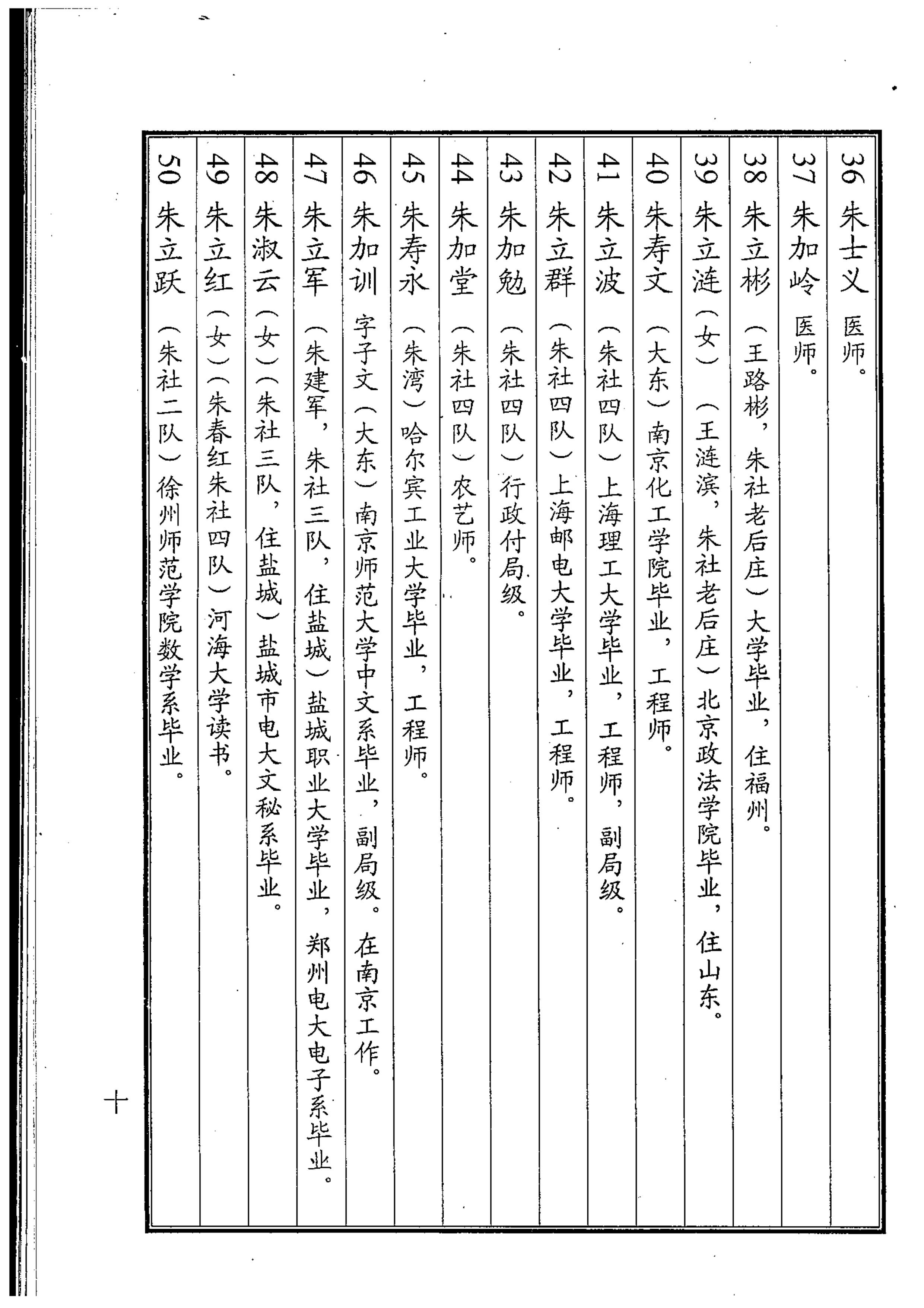
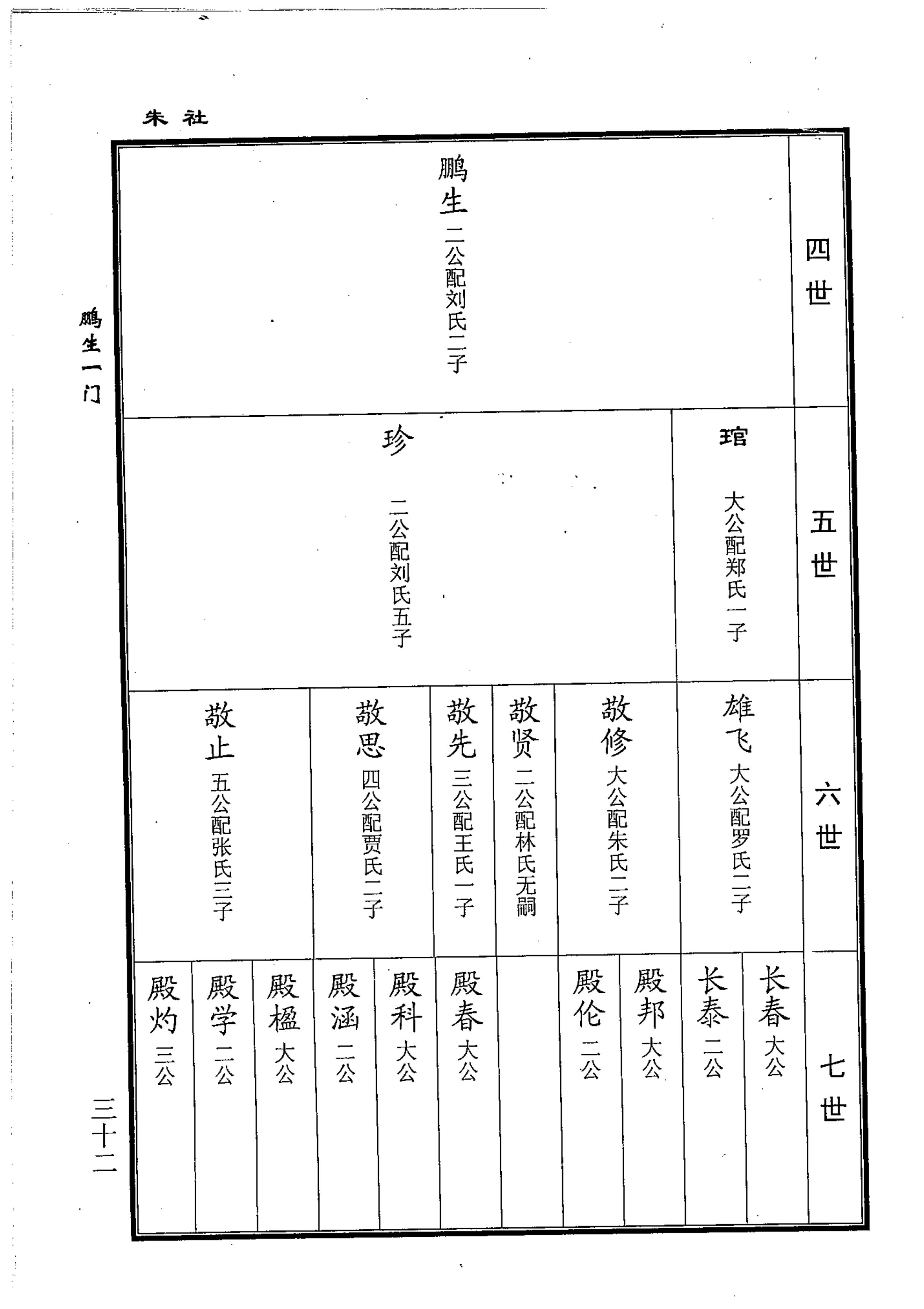
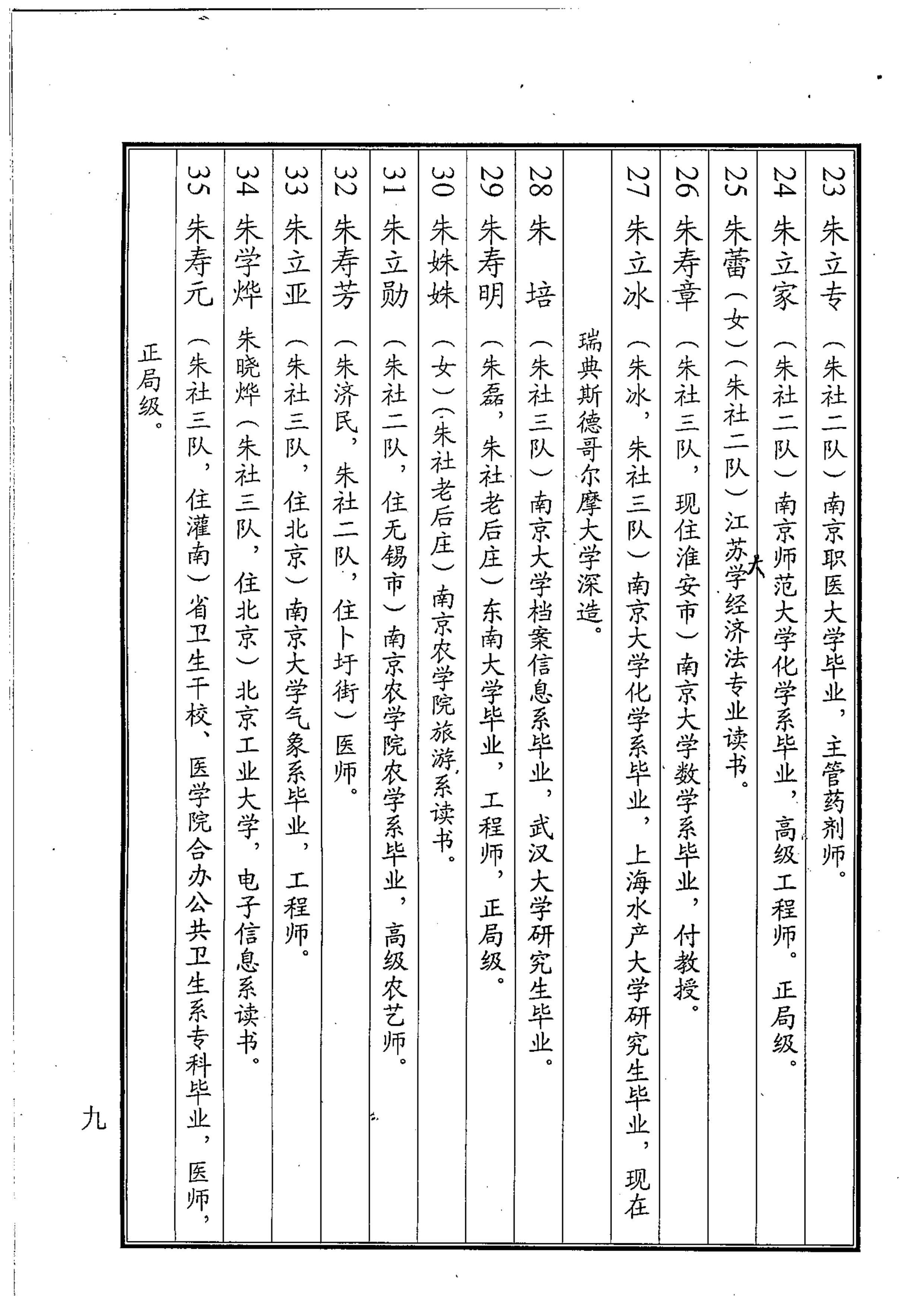
第1页.jpg
第2页.jpg
第3页.jpg
第4页.jpg
第5页.jpg
第6页.jpg
第7页.jpg
第8页.jpg
第9页.jpg
第10页.jpg
第11页.jpg
第12页.jpg
第13页.jpg
第14页.jpg
第15页.jpg
第16页.jpg
第17页.jpg
第18页.jpg
第19页.jpg
第20页.jpg
第21页.jpg
第22页.jpg
第23页.jpg
第24页.jpg
第25页.jpg
第26页.jpg
第27页.jpg
第28页.jpg
第29页.jpg
第30页.jpg
第31页.jpg
第32页.jpg
第33页.jpg
第34页.jpg
第35页.jpg
第36页.jpg
第37页.jpg
第38页.jpg
第39页.jpg
第40页.jpg
第41页.jpg
第42页.jpg
第43页.jpg
第44页.jpg
第45页.jpg
第46页.jpg
第47页.jpg
第48页.jpg
第49页.jpg
第50页.jpg
第51页.jpg
第52页.jpg
第53页.jpg
第54页.jpg
第55页.jpg
第56页.jpg
第57页.jpg
第58页.jpg
第59页.jpg
第60页.jpg
第61页.jpg
第62页.jpg
第63页.jpg
第64页.jpg
第65页.jpg
第66页.jpg
第67页.jpg
第68页.jpg
第69页.jpg
第70页.jpg
第71页.jpg
第72页.jpg
第73页.jpg
第74页.jpg
第75页.jpg
第76页.jpg
第77页.jpg
第78页.jpg
第79页.jpg
第80页.jpg
第81页.jpg
第82页.jpg
第83页.jpg
第84页.jpg
第85页.jpg
第86页.jpg
第87页.jpg
第88页.jpg
第89页.jpg
第90页.jpg
第91页.jpg
第92页.jpg
第93页.jpg
第94页.jpg
第95页.jpg
第96页.jpg
第97页.jpg
第98页.jpg
第99页.jpg
第100页.jpg
第101页.jpg
第102页.jpg
第103页.jpg
第104页.jpg
第105页.jpg
第106页.jpg
第107页.jpg
第108页.jpg
第109页.jpg
第110页.jpg
第111页.jpg
第112页.jpg
第113页.jpg
第114页.jpg
第115页.jpg
第116页.jpg
第117页.jpg
第118页.jpg
第119页.jpg
第120页.jpg
第121页.jpg
第122页.jpg
第123页.jpg
第124页.jpg
第125页.jpg
第126页.jpg
第127页.jpg
第128页.jpg
第129页.jpg
第130页.jpg
第131页.jpg
第132页.jpg
第133页.jpg
第134页.jpg
第135页.jpg
上一篇:暂无
下一篇:徐州市铜山区柳泉镇柳泉村朱氏(考亭堂)族人寻亲