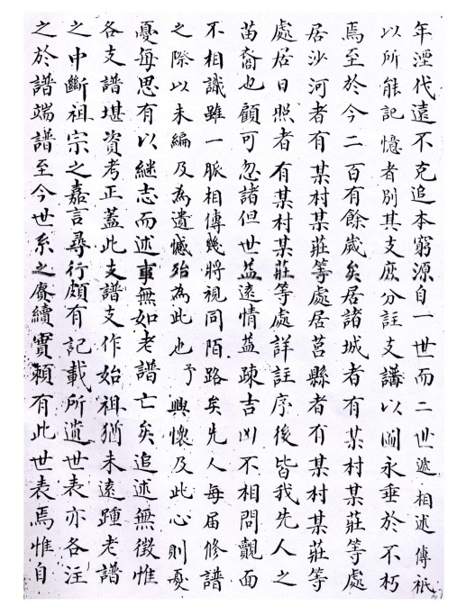
2025年2月1日,山东日照群贴出了“海青大岭朱春亮十八世13553010796”的“《朱氏族谱》PDF”。资料比较珍贵,为保持资料,推动寻根问祖,团结宗亲,现把该谱部分内容上传,供朱氏参考。





































(世界朱氏网编辑部)
2025年2月1日(2025年大年初四)
同一个世界,追求不同的境界,世界朱氏网追求:创新、文明、祥和、拼搏!
用一句话点亮人生,用一本书治愈心灵,用一场演讲改变世界,让地球变得更美好!
(有事找站长,支持世界朱氏网,长按扫码)
寻根问祖,查找家谱,就上朱氏家谱库,联系微信:19819884266。

寻根问祖、编修家谱,传播朱氏文化,品“中华朱氏酒”、“朱府囍酒”。济南炎黄朱氏文化传媒有限公司,19819884266。













